Vad är ränta och hur beräknas den?
Hos vissa banker, sparkonton eller även vid krediter och pantlån tas en månatlig ränta ut. Det betyder inte att detta gäller för alla typer av ränta.
Den tidsperiod över vilken räntan beräknas kan vara årligen, månadsvis, veckovis eller till och med dagligen.
I de övningar som föreslås i detta avsnitt kommer vi att räkna med årlig ränta.
Dessutom finns enkel ränta och ränta på ränta. I de övningar som vi kommer att titta på handlar det om ränta på ränta.
Formler för beräkning av ränta på ränta
För följande formler gäller följande notation:
: Ränta
: Startkapital
: Räntesats
: Nominell räntesats
: Slutbelopp (eller framtida värde)
: Tidpunkt för lånet eller investeringen
: Lånets eller investeringens löptid
: Kapitaliseringsfrekvens
Så lyder formlerna för beräkning av ränta på ränta när räntesatsen och tiden anges i samma tidsenhet:
Om tid och ränta anges i olika enheter måste motsvarande omräkningar göras innan formlerna tillämpas.
Uppgifter i ränteräkning
Hur länge måste ett kapital på 25 000 € placeras med 5 % per kvartal för att det med ränta på ränta ska bli 30 387,66 €?
Vi konstaterar att vi har slutbeloppet, startkapitalet och räntesatsen


kvartalsvis
Vi tillämpar formeln direkt för att beräkna tiden. Denna anges i kvartal, liksom räntesatsen:

Därför är den erforderliga tiden fyra kvartal.
Det lånas 45 000 € med ränta på ränta, och efter 2 år erhåller man 52 488 €.
Beräkna räntesatsen.
Vi har kapitalet, slutbeloppet och investeringens löptid


år
Vi tillämpar direkt formeln för beräkning av räntesatsen

Räntesatsen är 8 % per år.
Beräkna ränta-på-ränta-satsen (i procent) till vilken ett kapitalbelopp måste lånas ut för att räntorna efter 20 år ska motsvara det lånade kapitalbeloppet.
Vi vill att räntorna ska motsvara kapitalet, alltså är slutbeloppet dubbelt så högt som kapitalet

Vi konstaterar att vi har slutbeloppet, kapitalet och investeringens löptid



Eftersom kapitalet inte är 0 stryker vi
från båda sidor av ekvationen för räntesatsen och sätter in investeringsperioden:

Räntesatsen är alltså 3,53 % per år.
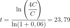
Hur lång tid tar det tills ränta på ränta uppgår till tre gånger startkapitalet vid en räntesats på 6 %?
Vi vill att räntorna ska uppgå till tre gånger kapitalet, alltså är slutbeloppet lika med fyra gånger kapitalet

Vi konstaterar att vi har slutbeloppet, kapitalet och räntesatsen



Eftersom kapitalet är skilt från 0 stryker vi
i ekvationen för att beräkna tiden

Den erforderliga tiden är alltså 23,79 år.
Beräkna ränta på ränta som uppstår under fem år på ett kapital på 30 000 € till 6 %.
Vi konstaterar att vi har investeringsperioden, kapitalet och räntesatsen



Här behöver vi bestämma värdet av
. Eftersom vi redan har alla erforderliga uppgifter behöver vi bara tillämpa formeln:

Ränta på ränta skulle alltså vara
€ efter fem år.
Beräkna slutkapitalet efter sex månader, utgående från ett startkapital på 10 000 € och en ränta-på-ränta-sats på 3,5 % per månad
Vi konstaterar att vi har investeringens löptid, kapitalet och räntesatsen



För att lösa denna uppgift sätter vi direkt in i formeln för beräkning av slutbeloppet

Kapitalet uppgår efter 6 månader till 12 292,55 €.
Beräkna den nominella räntesatsen för en investering på 30 000 €, som efter fem år med kvartalsvis förräntning blir 50 000 €.
Vi konstaterar att vi har investeringstidpunkten, kapitalet och slutbeloppet




Vi beräknar investeringens löptid

Här behöver vi hitta värdet
. Eftersom vi redan har alla erforderliga uppgifter behöver vi bara tillämpa formeln för beräkning av värdet:

Vi sätter in värdena
i formeln för den nominella räntesatsen och erhåller

Den nominella räntesatsen är således 10,35 %.
Hur lång tid tar det tills ett kapital på 30 000 € vid en ränta på ränta på 4 % ger ett belopp på 40 000 €?
Vi konstaterar att vi har slutbeloppet, kapitalet och räntesatsen



Vi sätter in värdena i ekvationen för beräkning av tiden

Den erforderliga tiden är alltså 7,33 år.
Sammanfatta med AI:














