En vektor
har komponenterna
. Bestäm koordinaterna för
om dess slutpunkt är
.
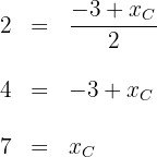
1 Eftersom vi inte känner till koordinaterna för
noterar vi dem i denna form:
.
2 Som vi vet beräknar man koordinaterna för en vektor genom att subtrahera startpunkten från slutpunkten.

3 Vi erhåller två ekvationer

4 Vi löser de båda ekvationerna och erhåller följande koordinater för
:

Givet är vektorn
och två likvärdiga vektorer
och
. Bestäm
och
. Därvid är
och
.
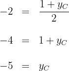
1 Eftersom
är likvärdiga är
.
2 Eftersom vi inte känner till koordinaterna för
noterar vi dem som:
.
3 Koordinaterna för en vektor beräknar man genom att subtrahera startpunkten från slutpunkten.

4 Vi erhåller två ekvationer

5 Vi löser de båda ekvationerna och erhåller följande koordinater för 

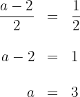
6 Vi löser ekvationen för
enligt samma schema och erhåller
.
Bestäm avståndet mellan punkterna
och
.
1 Formeln för beräkning av avståndet mellan två punkter är

2 Sätt in värdena för
och
i avståndsformeln så erhåller du

är en vektor med komponenterna
. Bestäm en enhetsvektor med samma riktning och orientering.
1 Formeln för enhetsvektorn är

2 Beräkna beloppet av 

3 Sätt in värdet i formeln för beräkning av enhetsvektorn

Bestäm en enhetsvektor som har samma riktning som vektorn
.
1 Formeln för enhetsvektorn är

2 Beräkna beloppet av 

3 Sätt in värdet i formeln för beräkning av enhetsvektorn

Beräkna koordinaterna för
så att fyrhörningen med hörnen
och
är ett parallellogram.

1 Motstående sidor i ett parallellogram har samma längd och riktning, därför erhåller vi

2 Eftersom vi inte känner till koordinaterna för
noterar vi dem som
.
3 Sätt in värdena för parallellogrammets hörn i vektorekvationen

4 Vi erhåller två ekvationer

5 Vi löser ekvationerna och erhåller följande koordinater

Finn mittpunkten för sträckan
med ändpunkterna
och
.
1 Formlerna för beräkning av mittpunktens koordinater är

2 Sätt in värdena för
och
i de båda formlerna

3 Mittpunkten är
.
Bestäm koordinaterna för punkten
om
är mittpunkten för
, och
.
1 Formlerna för att beräkna mittpunktens koordinater är

2 Sätt in värdena för
och
i de två formlerna och beräkna den första koordinaten för 

3 Den andra koordinaten för
är

4
är
Ta reda på om punkterna
och
är kollineära.
1 Punkterna
är kollineära om linjernas
och
lutningar är lika.

2 Eftersom båda lutningarna är lika är de tre punkterna kollineära.
Beräkna värdet av
för vilket punkterna
är kollineära.
1 Punkterna
är kollineära om linjernas
och
lutningar är lika.

2 Eftersom båda lutningsvärdena är lika sätter vi termerna lika med varandra och löser efter 

Givet är punkterna
och
. Bestäm en punkt
som är kollinär med
och
och med vilken man erhåller
.
1 Från de föregående villkoren erhåller vi följande ekvation

2 Sätt båda uttrycken lika koordinat för koordinat så erhåller du

3 Lös de båda ekvationerna för att erhålla koordinaterna för 


Givet är en triangel med hörnen
och
. Bestäm koordinaterna för dess tyngdpunkt.
1 Formeln för att beräkna tyngdpunkten är

2 Sätt in hörnnpunkternas värden i formeln så erhåller du

Givet är en triangel med två hörn
och tyngdpunkten
. Beräkna det tredje hörnet.
1 Formeln för att beräkna tyngdpunkten är

2 Sätt in tyngdpunktens och hörnpunkternas värden i formeln så erhåller du två ekvationer

3 Lös båda ekvationerna och du erhåller det tredje hörnet
.
Finn spegelbilden av punkten
i
.
1 Spegelbilden av
noterar vi som
. Dessutom gäller: 
2 Genom att sätta in punkternas värden erhåller vi två ekvationer som motsvarar vektorernas koordinater

3 Lös båda ekvationerna och du erhåller
.
Finn spegelbilden av punkten
i
.
1 Spegelbilden av
noterar vi som
. Dessutom gäller: 
2 Genom att sätta in punkternas värden erhåller vi två ekvationer som motsvarar vektorernas koordinater

3 Lös båda ekvationerna och du erhåller
.
Vilka punkter
och
delar en sträcka med ändpunkterna
och
i tre lika långa segment?

1 I vektornotation erhåller vi

2 Genom att sätta in punkternas värden erhåller vi två ekvationer som motsvarar vektorernas koordinater

3 Lös båda ekvationerna och du erhåller
.
4 För att hitta koordinaterna för
noterar vi

5 Genom att sätta in punkternas värden erhåller vi två ekvationer som motsvarar vektorernas koordinater

6 Lös båda ekvationerna och du erhåller
.
Sträckan
med ändpunkterna
delas i fyra lika långa segment. Vilka är koordinaterna för de punkter som delar den?

1 Man kan se att
är mittpunkten för sträckan 

2
är mittpunkten för sträckan 

3
är mittpunkten för sträckan 

Sammanfatta med AI:
